Центр Креативных Технологий

Прокатная и капитальная цена фактора производства

Прокатная цена фактора производства - цена найма или аренды фактора производства в единицу времени. К ней относятся заработная плата рабочих, рента, процент и т. п.

Прокатные цены формируют текущие доходы собственников факторов производства.

При совершенной конкуренции на товарных и факторных рынках прокатная цена фактора равна ценности предельного продукта данного фактора, т. е.:

r = VMPK - MRPK.

КАПИТАЛЬНАЯ ЦЕНА ФАКТОРА ПРОИЗВОДСТВА - это цена, по которой осуществляется купля-продажа того или иного фактора производства. Например, цена производственного здания фирмы составляет 10 млн руб. Это и есть его капитальная стоимость. Средства для покупки этого здания требуются сегодня.

Принимая решение о приобретении фактора производства, потребитель соизмеряет дополнительный доход, извлекаемый в результате применения новой единицы фактора, с его прокатной ценой. Фирма будет покупать услуги фактора производства до тех пор, пока прокатная цена данного фактора меньше дополнительного дохода, который обеспечивает этот фактор.

Покупая фактор по его капитальной цене, будущий собственник тем самым приобретает услуги фактора за весь период его применения.

Средства на приобретение фактора производства требуется расходовать в данный момент, а доход от его применения собственник будет получать в продолжение длительного периода применения фактора в форме распределенного по времени потока будущих доходов. Здесь возникает проблема соизмерения текущих расходов, связанных с приобретением капитальных факторов, с потоком будущих доходов.

Соизмерение текущих расходов с потоками будущих доходов производится посредством дисконтирования.

Предположим, что предприниматель, приобретая, например, станок, оценивает ожидаемый доход от его использования. Ожидаемый в будущем доход суммируется из ежегодных поступлений от применения станка. Следовательно, нужно определить, какую сумму денег необходимо заплатить за станок в настоящее время, чтобы через определенный срок его использования извлечь желаемый доход.

Дисконтированная или текущая стоимость зависит от:

  • процентной ставки;
  • конкретной суммы ежегодно ожидаемого дохода. Рассмотрим эти зависимости на условных примерах. Допустим, процентная ставка составляет 5%, тогда дисконтированная стоимость 1 тыс. р. при вкладе на один год равна:

PV = 1000/(1+0,05) = 952,4 p.

Теперь увеличим процентную ставку до 10%. В этом случае дисконтированная стоимость 1 тыс. руб. на один год составит:

PV = 1000/(1+0,1) = 909,1 p.

Из приведенных примеров следует, чем выше процентная ставка, тем ниже будет дисконтированная стоимость.

Перейдем ко второму положению.

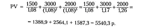
Предположим, что фирма намерена приобрести станок, использовать его в течение трех лет и получить от его использования доход 6500 р., причем этот доход распределяется по годам следующим образом: 1500 р. в первый год, 3000 р. - во второй и 2000 р. - в третий. Положим также, что ставка процента равна 8%. В этом случае дисконтированная стоимость будет равна:

дисконтированная стоимость

Если предположить, что остаточная стоимость станка равна нулю, то получится, что фирма должна заплатить за станок только 5540,3 р., чтобы через три года использования станка иметь 6500 р.

Если в приведенном выше примере доход фирмы распределится по годам следующим образом: 2000 р. в первый год, 1500 р. - во второй год и 3000 р. - в третий год, то в данном варианте дисконтированная стоимость станка будет равна:

дисконтированная стоимость

В соответствии со вторым положением поставим вопрос: купит ли фирма этот станок за 5800 р.? По-видимому, нет, ибо сегодняшняя стоимость потока доходов от станка не окупит необходимые на его покупку затраты. Максимальная цена, по которой станок может быть куплен, равна сегодняшней стоимости потока доходов (5515 р. или 5540,3 р. в наших примерах).

Г.C. Beчкaнoв, Г.P. Beчкaнoвa

Другие материалы по теме Прокатная и капитальная цена фактора производства

Микроэкономика...